Understanding the concept of duration and a fixed-income asset's price sensitivity to changes in interest rates can be approached in several ways. The Macaulay duration calculates the weighted average term to maturity of the cash flows from a bond. It is commonly used by portfolio managers who adopt an immunization strategy. On the other hand, the modified duration of a bond is an adjusted version of the Macaulay duration that helps calculate the changes in a bond's duration and price for each percentage change in the yield to maturity.
Basics
Bond durations, such as Macaulay and modified duration, play a pivotal role in bond analysis. Macaulay duration determines the weighted average time until a bondholder obtains the bond's cash flows. Conversely, modified duration gauges a bond's price sensitivity to changes in yield to maturity.
Bond Valuation and Cash Flow Analysis
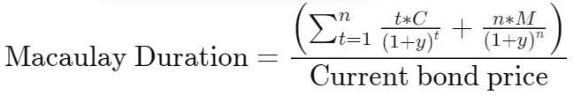
In financial assessments, Macaulay duration serves as a key metric. To compute it, multiply the time period by the periodic coupon payment and divide the result by 1 plus the periodic yield, raised to the time to maturity. This process is iteratively applied for each period, and the values are summed. The result is added to the total number of periods multiplied by the par value, divided by 1 plus the periodic yield raised to the total number of periods. Finally, the outcome is divided by the current bond price.

where:
- C=periodic coupon payment
- y=periodic yield
- M=the bond’s maturity value
- n=duration of bond in periods
On the other hand, a bond's price is determined by multiplying the cash flow by the discount factor, where the latter is calculated as 1 divided by (1 plus the yield to maturity) raised to the number of periods. The resultant value is then added to the bond's par value, divided by 1 plus the yield to maturity raised to the total number of periods.
For instance, consider a three-year bond with a $1,000 maturity value and a 6% semi-annual coupon rate. The cash flows over the next three years are as follows:
- Period 1: $30
- Period 2: $30
- Period 3: $30
- Period 4: $30
- Period 5: $30
- Period 6: $1,030
With known periods and cash flows, calculate discount factors for each period using the formula 1 ÷ (1 + r)^n, where r is the interest rate (6% compounded semiannually). The discount factors are as follows:
Period 1 Discount Factor: 1÷(1+.03)^1 = 0.9709
Period 2 Discount Factor: 1÷(1+.03)^2 = 0.9426
Period 3 Discount Factor: 1÷(1+.03)^3 = 0.9151
Period 4 Discount Factor: 1÷(1+.03)^4 = 0.8885
Period 5 Discount Factor: 1÷(1+.03)^5 = 0.8626
Period 6 Discount Factor: 1÷(1+.03)^6 = 0.8375
Next, find the present value of the period's cash flow by multiplying it with the period number and corresponding discount factor.
Period 1: 1×$30×0.9709 = $29.13
Period 2: 2×$30×0.9426 = $56.56
Period 3: 3×$30×0.9151 = $82.36
Period 4: 4×$30×0.8885 = $106.62
Period 5: 5×$30×0.8626 = $129.39
Period 6: 6×$1,030×0.8375 = $5,175.65


(Note that since the coupon rate and the interest rate are the same, the bond will trade at par.)

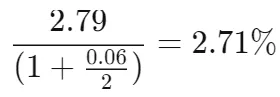
Note that this duration calculation is for 5.58 half-years, as the bond pays out semi-annually. Thus, the bond's annual duration is 2.79 years, less than its three-year maturity.
Modified Duration and Price Sensitivity

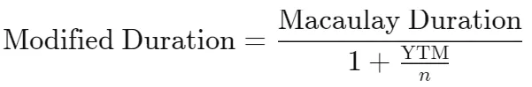
where:
- YTM = Yield to maturity
- n = Number of coupon periods per year
In finance, modified duration, an adjusted metric derived from Macaulay duration, addresses the impact of varying yield to maturities. The formula for modified duration involves dividing the Macaulay duration by 1 plus the yield to maturity, further divided by the number of coupon periods per year. This metric serves to quantify the changes in a bond's duration and price in response to each percentage change in the yield to maturity.
For example, here is our bond from the example above, which was calculated to have a Macaulay duration of 5.58 years. The modified duration for this bond would be:

Subsequently, to determine the percentage change in the bond price for a shift in interest rates from 8% to 9%, utilize the formula: change in yield multiplied by the negative modified duration multiplied by 100%. The computed percentage change is -2.71%. Therefore, a sudden 1% increase in interest rates is anticipated to lead to a 2.71% decline in the bond's price.
Interest Rate Swap Duration Analysis
Expanding the application of modified duration, it can be employed to determine the timeframe required for an interest rate swap to recoup its initial cost. An interest rate swap involves exchanging one set of cash flows for another, grounded in predefined interest rate terms between the involved parties.
In this context, the computation of modified duration entails dividing the dollar value of a one basis point change in an interest rate swap leg by the present value of the corresponding cash flow series. The resultant value is then multiplied by 10,000. Alternatively, the modified duration for each cash flow series can be derived by dividing the dollar value of a basis point change in the series by the sum of the notional and market values. This fraction is then multiplied by 10,000.
To ascertain the overall modified duration of the interest rate swap, it is imperative to calculate the modified duration for both legs. The disparity between the two modified durations yields the modified duration of the entire interest rate swap. The modified duration of the receiving leg minus that of the paying leg determines this duration of the interest rate swap.
As an illustration, consider a scenario where Bank A and Bank B engage in an interest rate swap. Assuming the modified duration of the receiving leg is nine years, and that of the paying leg is five years, the resultant modified duration for the interest rate swap is four years (9 years – 5 years).
Analyzing Bond Durations
Examining bond durations reveals significant distinctions in their applications. Macaulay duration, gauging the average time for an investor to align the present value of a bond's cash flows with its purchase cost, proves vital for bond managers employing immunization strategies to control portfolio risk.
On the other hand, modified duration delineates the sensitivity of a bond's duration to changes in yield, offering insight into the impact of interest rate fluctuations on bond prices. Effectively, it serves as a risk metric for bond investors, estimating potential price declines in response to rising interest rates. It's crucial to recognize the inverse relationship between bond prices and interest rates.
Conclusion
Comprehending bond durations, be it Macaulay or modified, offers essential insights for financial decisions. Macaulay duration guides portfolio managers in risk management, indicating the average time to align cash flows with the bond's cost. Meanwhile, modified duration acts as a critical risk metric, unveiling a bond's sensitivity to yield changes. This interplay between durations and interest rates underscores the nuanced factors influencing bond prices, demanding careful consideration in financial strategies.