When investing in coupon bonds, a metric called "duration" is used to measure how sensitive the bond's price is to changes in interest rates. Banks use a gap management tool to ensure that the durations of their assets and liabilities are equal. This helps to protect their overall position from being impacted by changes in interest rates.
Basics
Risk management in fixed-income investments involves utilizing duration and convexity. Duration assesses a bond's responsiveness to interest rate fluctuations, while convexity deals with the interplay between a bond's price and yield amidst interest rate shifts.
For coupon bonds, investors turn to duration as a crucial metric for evaluating the bond's price sensitivity to interest rate variations. As coupon bonds entail multiple payments throughout their lifespan, it becomes imperative for fixed-income investors to quantify the average maturity of the bond's anticipated cash flow. Duration serves as a concise measure of the bond's effective maturity, offering fixed-income investors an efficient means to assess uncertainty while overseeing their portfolios.
Duration of a Bond
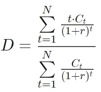
In 1938, Canadian economist Frederick Robertson Macaulay introduced the term "duration" to represent the effective maturity of a bond. His proposed calculation involves determining the weighted average of the times to maturity for every coupon or principal payment issued by the bond. The Macaulay duration formula is expressed as follows:

where:
- D = The bond’s MacAulay duration
- T = The number of periods until maturity
- i = The i-th time period
- C = The periodic coupon payment
- r = The periodic yield to maturity
- F = The face value at maturity
Fixed-Income Portfolio Management: Unveiling the Significance of Duration
The role of duration in the effective management of fixed-income portfolios is multifaceted:
- Duration serves as a concise statistical measure, encapsulating the effective average maturity of a portfolio.
- It plays a pivotal role in immunizing portfolios against the uncertainties of interest rate fluctuations.
- It provides a reliable estimate of the interest rate sensitivity inherent in a portfolio.
Noteworthy Characteristics of Duration
- For zero-coupon bonds, duration aligns with the time to maturity.
- When holding maturity constant, higher coupon rates contribute to lower bond duration due to earlier coupon payments.
- Holding the coupon rate steady, a bond's duration generally increases with time to maturity, barring exceptions like deep-discount bonds, where duration may decrease with extended maturity timelines.
- The duration of coupon bonds rises when yields to maturity are lower, while for zero-coupon bonds, duration equals time to maturity regardless of the yield.
- The duration of a level perpetuity is calculated as (1 + y) / y, illustrating a significant difference between maturity and duration. For instance, at a 10% yield, the duration of a perpetuity paying $100 annually is 11 years, while at an 8% yield, it extends to 13.5 years. This underscores the divergence between perpetuity maturity (infinite) and duration (11 years at a 10% yield). The dominance of present-value-weighted cash flows early in the perpetuity's life shapes the duration computation.
Managing Duration Gaps in Banking
Within the banking sector, mismatches often arise in the maturities of assets and liabilities. Bank liabilities, mainly customer deposits, typically exhibit short-term characteristics with low duration. In contrast, a bank's assets, primarily comprising commercial and consumer loans or mortgages, tend to have longer durations, rendering them more susceptible to interest rate fluctuations. Unanticipated spikes in interest rates can lead to significant declines in a bank's net worth if asset values decrease more than liabilities.
Gap management emerges as a prevalent risk mitigation strategy, aiming to minimize the "gap" between asset and liability durations. Adjustable-rate mortgages (ARMs) play a pivotal role in this strategy, helping reduce the duration of bank-asset portfolios. Unlike traditional mortgages, ARMs maintain their value during market rate increases, as their rates are linked to the current interest rate.
Conversely, on the liability side, the introduction of longer-term fixed-term bank certificates of deposit (CDs) serves to extend the duration of bank liabilities, contributing to the mitigation of the duration gap.
Exploring Gap Management
Gap management is a strategic tool banks employ to align the durations of assets and liabilities, ensuring a robust defense against the impacts of interest rate fluctuations. The fundamental premise involves maintaining roughly equal-sized assets and liabilities, allowing changes in interest rates to exert an equal influence on both, thereby minimizing any consequential effect on net worth. Achieving net worth immunization necessitates a portfolio duration or gap of zero.
Diverging from banks, institutions with future fixed obligations, such as pension funds and insurance companies, operate with a focus on upcoming commitments. For instance, pension funds must secure adequate funds to support retirees' income streams. As interest rates oscillate, the value of fund assets and the income they generate fluctuate accordingly. In response, portfolio managers may seek to immunize the future accumulated value of the fund against potential interest rate movements, ensuring that duration-matched assets and liabilities shield the bank's ability to fulfill obligations, irrespective of interest rate shifts.
Understanding Convexity in Fixed Income Management
In fixed-income management, duration has limitations as an indicator of interest rate sensitivity. Despite its capacity to compute a linear correlation between bond price and yield changes, the practical relationship exhibits convexity.
Convexity, measuring the curvature of bond price changes concerning fluctuations in interest rates, rectifies this shortcoming by assessing the alteration in duration amid varying interest rates. The formula for this is represented as:

where:
- f′′ = Second order derivative
- B = Bond price
- r = Interest rate
- D = Duration
Typically, bonds with higher coupons exhibit lower convexity, as a 5% bond displays greater sensitivity to interest rate shifts than a 10% bond. Callable bonds, incorporating a call feature, showcase negative convexity when yields drop too low, resulting in decreased duration with declining yields. Zero-coupon bonds boast the highest convexity, with valid relationships only under equivalent durations and yields to maturity. Notably, high convexity bonds experience heightened sensitivity to interest rate changes, leading to more pronounced price fluctuations during such movements.
Conversely, low convexity bonds witness less price fluctuation amidst interest rate changes, generating a long-sloping U shape when graphed on a two-dimensional plot, hence the term "convex." Bonds with low-coupon and zero-coupon characteristics, featuring lower yields, exhibit heightened interest rate volatility. This implies that the bond's modified duration necessitates a more substantial adjustment to align with the amplified price changes following interest rate shifts. The inverse relationship between coupon rates, yields, and convexity prevails, accentuating the dynamic interplay in interest rate sensitivity.
Conclusion
Fixed-income investing can be challenging due to the ever-changing nature of interest rates, which creates uncertainty. To overcome this challenge, investors use duration and convexity as tools to quantify uncertainty and manage fixed-income portfolios effectively.