The sensitivity of a bond's or fixed income portfolio's price to changes in interest rates is measured by duration. When interest rates increase, a bond's price tends to fall more if it has a higher duration. Two factors influencing a bond's duration are its time to maturity and coupon rate. Macaulay duration estimates the number of years required for an investor to recover the bond's price through its total cash flows, while modified duration gauges the price change in response to a 1% interest rate shift. The duration of a fixed-income portfolio is determined by computing the weighted average of individual bond durations held within the portfolio.
Basics
Duration, in terms of measurement, pertains to the time, often expressed in years, it takes for an investor to recoup a bond's price through its complete cash flows. It can also assess the responsiveness of a bond's or a fixed-income portfolio's value to fluctuations in interest rates. It's worth noting that some forms of duration calculations also use years, leading to potential confusion with a bond's term or time to maturity. However, a bond's term represents a straightforward linear measure of the years until principal repayment, unaffected by changes in the interest rate landscape. In contrast, duration operates nonlinearly and intensifies as the time to maturity decreases.
What Is the Function of Duration?
Bond duration quantifies how susceptible a bond or debt instrument is to shifts in interest rates. Typically, as duration increases, so does the vulnerability of a bond's price to declining when interest rates ascend, leading to heightened interest rate risk. As an illustration, if interest rates were to surge by 1%, a bond or bond fund sporting a five-year mean duration would probably experience an approximate 5% reduction in its worth.
When assessing time to maturity, it becomes evident that longer maturities correspond to higher durations, escalating interest rate risk. For instance, let's consider two bonds, both yielding 5% and priced at $1,000, but with differing maturities. A bond maturing in a shorter period, such as one year, will recoup its initial investment more swiftly than a bond maturing over ten years. Consequently, the bond with the shorter maturity carries a reduced duration and mitigated risk.
Another critical determinant in calculating duration is the bond's coupon rate. If we examine two otherwise identical bonds, differing only in coupon rates, the bond featuring the higher coupon rate will reimburse its principal amount more expeditiously than the bond with a lower yield. A higher coupon rate corresponds to a diminished duration and, consequently, decreased interest rate risk.
Varieties of Duration: Exploring Different Types
Bond duration encompasses two distinct concepts in practice. Firstly, there's the Macaulay duration, which represents the weighted average time until the bond's cash flows are fully disbursed. By incorporating the present value of forthcoming bond payments, the Macaulay duration empowers investors to assess and compare bonds without being influenced by their term or maturity timeline.
On the other hand, the second duration type, known as modified duration, isn't expressed in years. Instead, it quantifies the expected price fluctuation of a bond in response to a 1% shift in interest rates. To grasp the essence of modified duration, it's essential to recognize the inverse relationship between bond prices and interest rates. When interest rates rise, bond prices tend to decline, whereas declining interest rates typically lead to rising bond prices.
Macaulay Duration
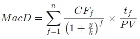
Calculating Macaulay duration involves determining the present value of a bond's upcoming coupon payments and its maturity value. Fortunately, this metric is readily available in the majority of bond search and analysis software tools, simplifying the process for investors. Notably, Macaulay duration's magnitude is influenced by the time to maturity, meaning that higher durations correspond to increased interest rate risk or potential rewards for bond prices. To manually compute Macaulay duration:

where:
- f = cash flow number
- CF = cash flow amount
- y = yield to maturity
- k = compounding periods per year
- tf = time in years until cash flow is received
- PV = present value of all cash flows
The former formula comprises two segments: the initial portion determines the present value of forthcoming bond cash flows, while the subsequent part calculates the weighted average duration until those cash flows are settled. When these components are combined, they provide investors with the weighted average time frame for receiving the bond's cash flows.
Illustrating Macaulay Duration Calculation with an Example
Consider a three-year bond with a $100 face value. This bond disburses a 10% semiannual coupon, equating to $5 every six months, and currently boasts a yield to maturity (YTM) of 6%. The initial step in determining Macaulay duration involves utilizing this data to compute the present value of all forthcoming cash flows, as exemplified in the subsequent table:
Cash Flow# | Cash Flow | PV of CF CF/(1 + YTM/2)^f |
| 1 | $5.00 | $4.85 |
| 2 | $5.00 | $4.71 |
| 3 | $5.00 | $4.58 |
| 4 | $5.00 | $4.44 |
| 5 | $5.00 | $4.31 |
| 6 | $105.00 | $87.94 |
| Total | $110.83 |
Understanding this aspect of the computation is essential, though unnecessary, when armed with the bond's YTM and its present value, as the bond's current price inherently represents the sum of its cash flows' present values. To finalize the calculation, investors should determine each cash flow's present value, divide it by the total present value of all bond cash flows, and subsequently multiply the outcome by the time to maturity in years. This calculation is further elucidated in the ensuing table for clarity.
Cash Flow# | Cash Flow | PV of CF CF/(1 + YTM/2)^f | (PV/Total)(tf) |
| 1 | $5.00 | $4.85 | 0.0219 |
| 2 | $5.00 | $4.71 | 0.0425 |
| 3 | $5.00 | $4.58 | 0.0619 |
| 4 | $5.00 | $4.44 | 0.0802 |
| 5 | $5.00 | $4.31 | 0.0973 |
| 6 | $105.00 | $87.94 | 2.3802 |
| Total | $110.83 | 2.6840 |
In the table's "Total" row, it's revealed that the three-year bond possesses a Macaulay duration of 2.684 years. Traders recognize that as duration extends, a bond becomes more susceptible to interest rate fluctuations. In the event of a YTM increase, a bond with a 20-year maturity will experience a more substantial decline in value compared to a bond with a five-year maturity. The metric denoting the bond price's response to each 1% YTM fluctuation is known as modified duration.
Understanding Modified Duration
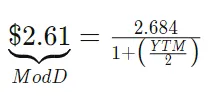
Bond investors find the modified duration invaluable as it elucidates the potential price fluctuation for every 1% shift in YTM. This metric gains particular significance when investors are concerned about imminent interest rate fluctuations. For bonds featuring semiannual coupon payments, the formula below facilitates the computation of their modified duration:

Applying the data from the preceding instance, the modified duration formula can be employed to ascertain the extent of the bond's price adjustment resulting from a 1% interest rate shift, as depicted below:

In this scenario, when the YTM shifts from 6% to 7% due to increasing interest rates, the bond's value is expected to decrease by $2.61. Conversely, if the YTM decreases from 6% to 5%, the bond's price should increase by $2.61. Regrettably, as the YTM fluctuates, the pace of price alteration will likewise accelerate or decelerate. This phenomenon, denoting the acceleration in a bond's price movement in response to rising or falling interest rates, is referred to as convexity.
Applications of Duration
Investors should remain cognizant of two primary risks influencing a bond's investment value: credit risk, linked to defaults, and interest rate risk, tied to fluctuations in interest rates. Duration serves as the quantifying tool for assessing the potential repercussions of these factors on a bond's price, as they directly impact the bond's anticipated YTM.
For instance, when a company's financial situation deteriorates, leading to a decline in its creditworthiness, investors will demand a more substantial compensation, or YTM, to hold the bonds. Elevating the YTM for an existing bond necessitates a reduction in its price. Similarly, if interest rates ascend, and competing bonds offering a higher YTM emerge, the same principles apply.
Notably, the duration of a zero-coupon bond is equivalent to its time to maturity since it lacks coupon payments. Varieties of Duration-Based Investment Strategies
What's the Origin of the Term Duration
In the financial media, you may have encountered discussions regarding perplexing terms like long-duration and short-duration strategies. In trading and investment contexts, "long" denotes ownership of an asset or an interest therein, poised to gain value with price increases, while "short" implies borrowing an asset or holding an interest (e.g., derivatives) expected to appreciate as prices decline.
However, a long-duration strategy pertains to an investment approach where bond investors prioritize bonds with extended duration values. In this scenario, investors tend to acquire bonds with lengthy periods until maturity, entailing heightened exposure to interest rate fluctuations. Such a strategy thrives during recessionary periods, marked by declining interest rates.
Conversely, a short-duration strategy revolves around the purchase of bonds with abbreviated durations, signifying bonds with limited time to maturity. This approach is favored when anticipating rising interest rates or navigating a landscape of interest rate uncertainty while aiming to minimize risk.
Conclusion
Duration is a crucial metric in the realm of fixed-income investing, providing valuable insights into how bond prices respond to changes in interest rates. It serves as a reliable gauge of interest rate risk, with bonds featuring longer times to maturity exhibiting higher durations and, thus, greater sensitivity to interest rate fluctuations. Macaulay duration and modified duration are essential tools for investors, helping them estimate the time needed to recoup a bond's price through cash flows and predicting price changes in response to 1% shifts in yield to maturity. Furthermore, duration aids in managing the riskiness of fixed-income portfolios, alongside the concept of convexity, by assessing the potential impact of interest rate changes. Overall, a solid understanding of duration is fundamental for investors seeking to make informed decisions in the complex world of fixed-income securities.