Yield to worst represents the lowest yield an investor can receive on a bond that can be redeemed early. Yield to worst is usually the same as yield to call. This measure is always less than yield to maturity because it reflects the return on investment for a shortened investment period.
Basics
In bond investments, the yield to worst emerges as a crucial indicator, representing the lowest attainable yield within the confines of a bond's contractual parameters, devoid of any default incidents. This yield variation becomes significant when a bond allows the issuer to terminate it early. The predominant catalyst for such premature bond retirement frequently lies in callability provisions.
The utility of the yield to worst metric lies in its capacity to scrutinize the most unfavorable yield scenario at the earliest permissible retirement juncture. This metric proves instrumental for investors seeking to navigate and mitigate risks, ensuring the fulfillment of specific income requisites even in the most adverse circumstances.
Exploring Yield to Worst
The computation of a bond's Yield to Worst (YTW) hinges on the earliest potential call or retirement date. This calculation assumes that the bond issuer will opt for a principal prepayment by exercising the call option. Following the call, the principal is typically reimbursed, and coupon payments cease. Issuers are inclined to trigger the callable option in a declining yield environment, aiming to secure a more favorable coupon rate through new issuances in the prevailing market conditions.
YTW, interchangeably referred to as Yield to Call (YTC), necessitates the calculation of both yield to call and yield to maturity for identification. While YTW may align with a yield to maturity in certain instances, it can never surpass it, as it denotes the investor's yield at an earlier prepayment date than the full maturity. Essentially, YTW signifies the minimum attainable return for an investor holding a bond that adheres to its contractual terms without defaulting. Notably, YTW remains unrelated to default scenarios, which constitute distinct circumstances.
Navigating Bond Dynamics: Unraveling Yield to Call and Yield to Worst Calculations
In the intricate landscape of bond mechanics, the yield to call is an annualized return, presupposing the bond's redemption by the issuer at the earliest permissible callable date. The callable status of a bond arises when the issuer possesses the prerogative to redeem it before the scheduled maturity. Yield to worst is determined by the lower value between the yield to call and the yield to maturity. Introducing a put provision grants investors the authority to sell the bond back to the company at a predetermined price on a specified date. Although there exists a yield to put, it does not contribute to YTW, as the decision to sell the bond rests with the investor.
The YTC calculation formula is as follows:
YTC = (coupon interest payment + (call price - market value) ÷ number of years until call) ÷ (( call price + market value ) ÷ 2 )
Yield Analysis Simplified
In the realm of yield assessment, figures are conventionally expressed on an annual basis. In cases where a bond lacks callable features, the yield to maturity takes precedence, as there is no yield to call in such instances.
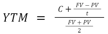
The yield to maturity is derived from the formula below:

where:
- C = Interest/coupon payment
- FV = Face value of the security
- PV = Present value/price of the security
- t = How many years it takes the security to reach maturity
Conversely, for callable bonds, attention shifts to Yield to Worst. Despite yield to maturity consistently surpassing YTW (YTC), as investors accrue more by holding the bond until its full maturity, YTW gains prominence. This metric offers a nuanced examination of bonds with call provisions, showcasing the lowest conceivable yield in scenarios where the bond is held for a truncated duration. Additional yield considerations for investors encompass running yield and nominal yield.
Conclusion
Yield to worst encapsulates the minimum return achievable for an investor in the event of early bond redemption, often aligning with yield to call. This measure inherently falls below yield to maturity, illustrating the reduced investment period's impact on returns. As investors navigate the complexities of bonds, it is crucial to comprehend the variations in yields. The nuanced calculations of yield to call and yield to worst provide essential insights, ensuring investors can make informed decisions in diverse market scenarios. Whether exploring yield to maturity, yield to call, or yield to worst, a comprehensive understanding of these metrics is essential for effective bond portfolio management.